• Предмет: Математика
  • Автор: artem508658
  • Вопрос задан 7 лет назад

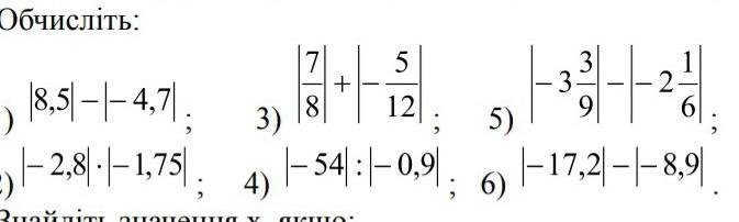
решите по.................​

Приложения:

Ответы

Ответ дал: dumasivan31
1

Пошаговое объяснение:

1. 3,8

2. 1,05

3. 31/24

4. 60

5. 7/6

6. 8,3

Вас заинтересует