Помогите пожалуйста 831 (1,2,3) 832(1,2,3)
Приложения:

saenkoalja2:
Извини, а мы должны догадываться, что тебе делать надо ?
Ответы
Ответ дал:
1
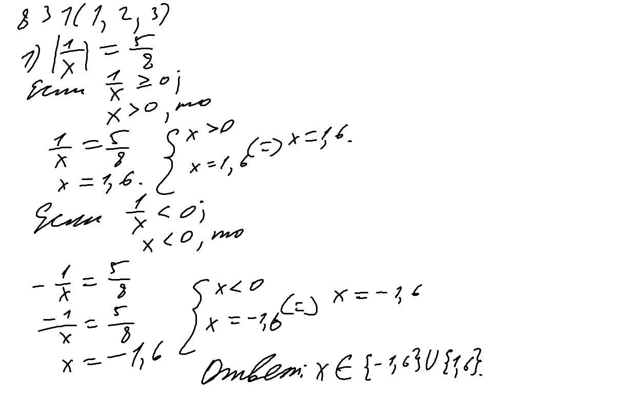
Ответ: Решение и ответ приведены в прикреплённых файлах.
Пошаговое объяснение:
Приложения:


Вас заинтересует
2 года назад
2 года назад
8 лет назад
8 лет назад