• Предмет: Алгебра
  • Автор: sicackaiaviola
  • Вопрос задан 7 лет назад

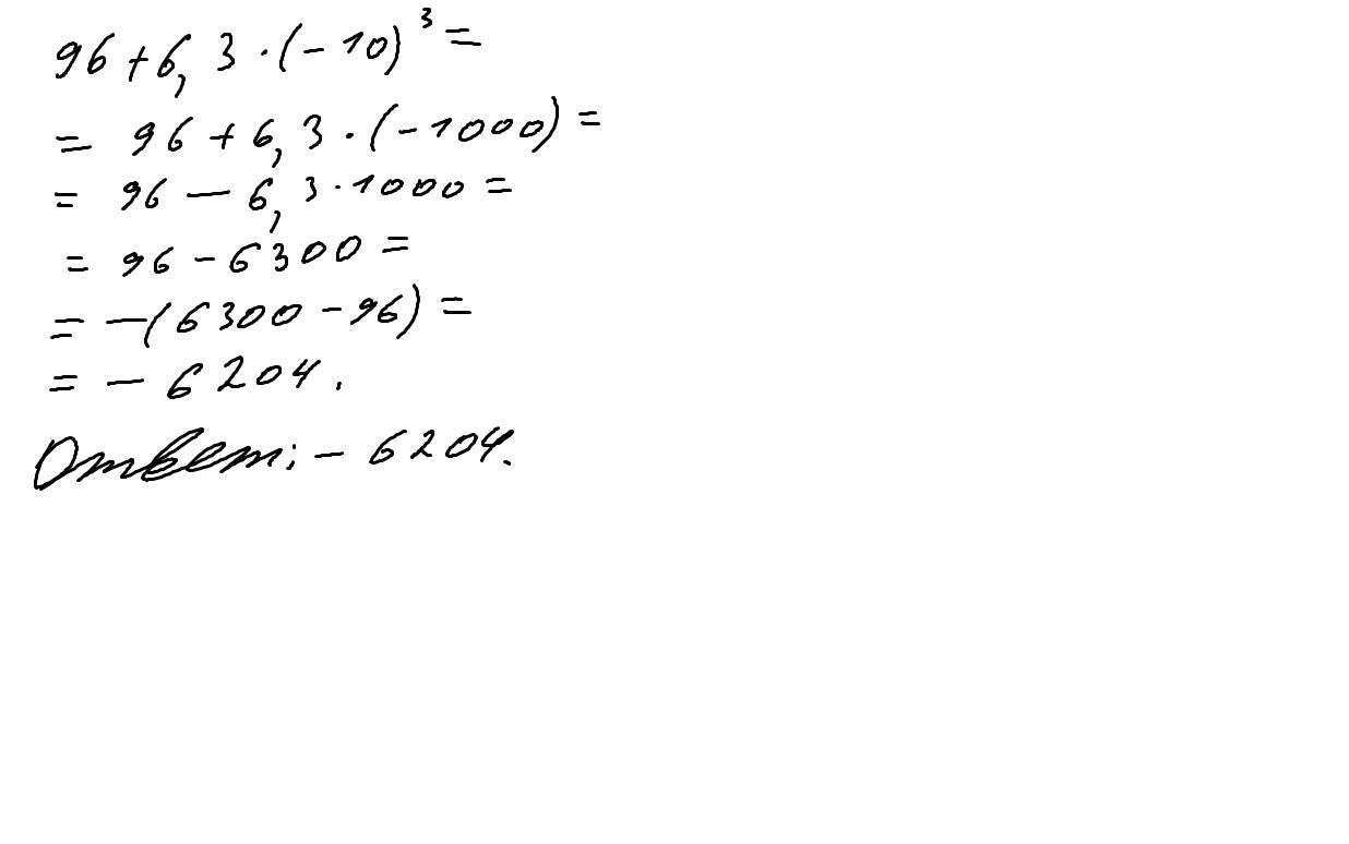
Найдите значение выражения 96+6,3*(-10)^3
С решением пожалуйста срочно

Ответы

Ответ дал: ivanivanov200200200
0

Ответ: Решение и ответ приведены в прикреплённых файлах.

Объяснение:

Приложения:
Вас заинтересует