• Предмет: Алгебра
  • Автор: detektorbo05
  • Вопрос задан 7 лет назад

Помогите пожалуйста,срочно нужно!П О Ж А Л У Й С Т А

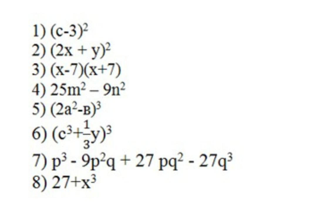
Приложения:

detektorbo05: Если можно побыстрее пожалуйста
detektorbo05: У меня 6 минут осталось
detektorbo05: Умоляю вас,можно побыстрее

Ответы

Ответ дал: nv1812
1

Ответ:

с^2-6с+9

4х^2+4ху+у^2

х^2+7х-7х-49=х^2-49

Объяснение:

(5m-3n)(3m+3n)

8а^6-6а^4в+6а^2в^2-в^3

с^9+а^6у+а^3у^2+у^3

р^2(p-9q)+27q^2(p-q)

(3+x)(9+3x+x^2)


detektorbo05: Конечно спасибо,но ответ уже не нужен!
Вас заинтересует