• Предмет: Алгебра
  • Автор: Максим511
  • Вопрос задан 10 лет назад

ПОМОГИТЕ!!!  не знаю как решать , сижу как чайник

Приложения:

Ответы

Ответ дал: Ekaterina1819
0
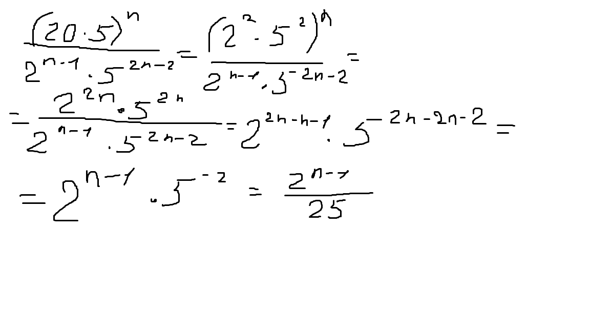
Получится вот так :)
Приложения:
Вас заинтересует