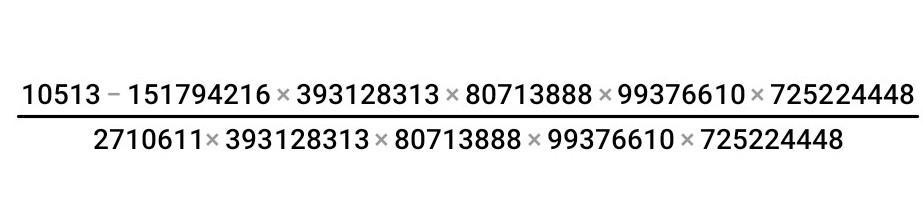
Вычисли спроверкой, 5 256 500 : 27 106 110 : 786 256 626:807 13 888: 248 4415 250: 725 224 448 - 56 в столбик
Ответы
Ответ дал:
0
воооооооооооооооооооооот
Приложения:


os389616:
там из книги
᠌ ᠌
Вас заинтересует
2 года назад
2 года назад
2 года назад
2 года назад
8 лет назад
8 лет назад
9 лет назад
9 лет назад