• Предмет: Алгебра
  • Автор: mahinec421
  • Вопрос задан 7 лет назад

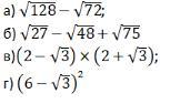
Упростите:...........

Приложения:

Ответы

Ответ дал: dostkunn
0

Ответ:

1) 2√2

2) 4√3

3) 1

4) 39-12√3

Вас заинтересует