Ответы
Ответ дал:
1
Ответ:
Пошаговое объяснение:
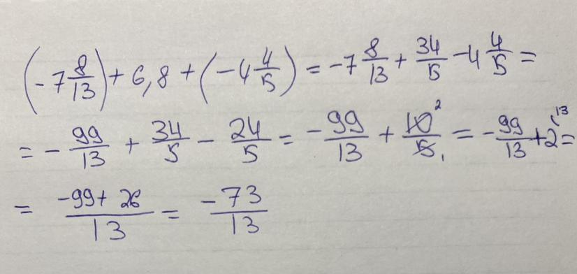
(-7 8/13)+6,8+(-4 4/5)
-7 8/13+6,8-4 4/5
-99/13+34/5-24/5
= - 73/13= -5 8/13
Надеюсь правильно, если да можно лучший ответ пожалуйста
Ответ дал:
0
Решение на фото. Ответ -73/13
Приложения:

Вас заинтересует
2 года назад
2 года назад
2 года назад
8 лет назад
8 лет назад
9 лет назад
9 лет назад