• Предмет: Математика
  • Автор: gwwui
  • Вопрос задан 7 лет назад

Помогите пожалуйста
Это срочно
Дам 50 баллов!!​

Приложения:

Ответы

Ответ дал: kimsohyun435
1

Ответ:

1.

1) х⁶•х⁸=х¹⁴

2) х⁸:х⁶=х²

3)(х⁶)⁸=х⁴⁸

4) (х⁴)³•х²/х⁹=х¹²•х²/х⁹=х¹⁴/х⁹=х⁵

5) (а⁵)²:(а³)²=а¹⁰:а⁶=а⁴

2.

2³•4•2⁸=2³•2²•2⁸=2¹³

Приложения:

kimsohyun435: если есть вопросы,задавайте.
gwwui: спасибо большое очень помогли
kimsohyun435: не за что, обращайте.)
kimsohyun435: обращайтесь.*
Ответ дал: NataMon
1

Ответ:

Пошаговое объяснение:

№1. 1. х⁶ * х⁸ = х¹⁴     2. х⁸ : х⁶ = х²    3. (х⁶)⁸ = х⁴⁸    

       4. ((х⁴)³ * х²)/х⁹ = (х¹² * х²)/х⁹ = х¹⁴/х⁹ = х⁵

№2. 2³ * 4 * 2⁸ = 2³ * 2² * 2⁸ = 2¹³

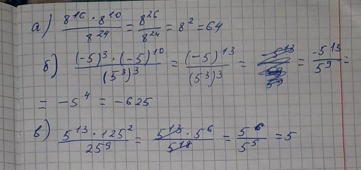
№3. а) (8¹⁶ * 8¹⁰)/8²⁴ = 8²⁶/8²⁴ = 8²

        б) ((-5)³ * (-5)¹⁰))/(5³)³ = -(5)¹³/5⁹ = -5⁴

        в) (5¹³ * 125²)/25⁹ = (5¹³ * 5⁶)/5¹⁸ = 5¹⁹/5¹⁸ = 5

№4. (-1)⁹ + 0⁵⁴ + (-1)² - (-1)³ = -1 + 0 + 1 + 1 = 1

Вас заинтересует