Ответы
Ответ дал:
1
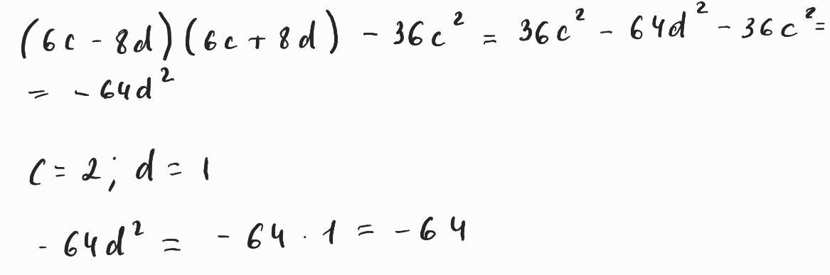
Сначала упростили выражение,а потом подставили d
1^2=1
1^2=1
Приложения:

Ответ дал:
1
Решение представлено на фото
Приложения:

Вас заинтересует
2 года назад
2 года назад
2 года назад
8 лет назад
9 лет назад
9 лет назад