• Предмет: Алгебра
  • Автор: Taisia11119
  • Вопрос задан 7 лет назад

даю 30б
Мне нужно очень быстрый ответ и правильный!!!!
спасибо
жду 15 м.

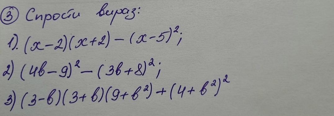
Приложения:

Ответы

Ответ дал: realcat64
1

Ответ:

1. (x-2)(x+2)-(x-5)^{2} = x^{2} - 4 -(x^{2} - 10x +25) = x^{2} - 4 - x^{2} + 10x -25 = 10x - 29;\\\\2. (4b - 9)^{2} - (3b + 8)^{2} = (4b - 9 - (3b+8))  (4b - 9 + (3b+8)) = (4b -9-3b-8)(4b-9+3b+8) = (b-17)(7b-1);\\\\3. (3-b)(3+b)(9+b^{2})(4+b^{2})^{2} = (9-b^{2})(9+b^{2})+16+8b^{2}+b^{4}=81-b^{4}+16+8b^{2}+b^{4}=97+8b^2


Taisia11119: огромное спасибо!! можете перейти по моему каналу и ответить на вопрос там где даю 17б???
Ответ дал: YumekoJabamifff
0

Ответ:

1) -29

2) b(в кв.)-17

3) 97+8b(в кв.)

Вас заинтересует