• Предмет: Физика
  • Автор: deltafoxonelove
  • Вопрос задан 7 лет назад

Определить реакции вязов для двух заданных схем балок и заданной нагрузки (условие общее для этих схем).
Помогите разобраться в этой всей теме.

Приложения:

Ответы

Ответ дал: zinovicgrigorij
1

Ответ:

Объяснение:

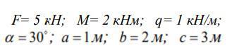
Дано:

F=5кН

M=1кнм

q=1кН/м

α=30°

а=1м

b=2м

с=3м

------------

Ra-?; Rb-?

1) Для нахождения реакции опоры а относительно оси Х составим уравнение сил.

Rax=Fcosα-Fcosα=5cos30°-5cos30°=0

2) Для нахождения реакции правой опоры b составим уравнение моментов относительно опоры а.

Реакцию опоры b направим вверх. Момент, направленный против часовой стрелки примем со знаком (+), по часовой стрелке со знаком (-)

∑Ма=0; M-Fsinα*a-qb*(a+b/2)-Fsinα*(a+b)+Rb(a+b+c)=0

Подставляем значения и получим:

1-5*0,5*1-1*2*(1+2/2)-5*0,5*(1+2)+Rb*(1+2+3)=0

Rb=(5*0,5*1-1+2*2+5*0,5*3)/6=2,17кН

2) ∑Мb=0; М-Ra*(a+b+c)+Fsinα*(b+c)+qb*(c+b/2)+Fsinα*c=0

1-Ra*6+5*0,5*5+1*2*4+5*0,5*3=0

Ra=(1+12,5+8+7,5)/6=4,83кН

Проверка: сумма сил относительно оси Y равна 0

Ra-F*sinα-qb-Fsinα+Rb=0

4,83-5*0,5-1*2-5*0,5+2,17=0

Задача решена правильно.

2) Для нахождения реакции опоры относительно оси Х составим уравнение проекции сил на ось Х

Raх-Fcosα=0

Rax=Fcosα=5*сos30°=4,33кН

∑Ма=0; Fsinα*a-M-qc*(b+c/2)+Rb*(b+c)+M=0

5*0,5*1-1-1*3*(2+1,5)+Rb*5+1=0

Rb=(-2,5-1+10,5+1)/5=8/5=1,6кН

∑Mb=0; Fsinα(a+b+c)-Ra(b+c)-M+qc*c/2+M=0

5*0,5*6-Ra*5-1+1*3*1,5+1=0

Ra=(15-1+4,5+1)/5=3,9кН

Проверка: сумма сил относительно оси Y равна нулю

-5*0,5+3,9-1*3+1,6=0

Задача решена правильно.


deltafoxonelove: Спасибо большое за помощь!
deltafoxonelove: Доброго времени суток. Извините, что так зачастила с просьбами к вам, но не могли бы вы снова помочь? Задание схожее с тем, на которое вы ответили. Может глянете, если будет немного времени?
https://znanija.com/task/48166310
Вас заинтересует