• Предмет: Геометрия
  • Автор: 12XFX12
  • Вопрос задан 7 лет назад

Ну пожалуйста, хоть кто-нибудь помогите....

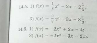
Приложения:

Ответы

Ответ дал: kuanysabdyrahman144
0

На фотографий прикреплена посмотрите

Приложения:
Вас заинтересует