• Предмет: Алгебра
  • Автор: olapolakova939
  • Вопрос задан 7 лет назад

Алгебра задачка
9 клас может кто-то знает как решить​

Приложения:

mashuko666: наверняка в 9 классе есть какие-то специальные формулы для этого,но я тут могу только методом научного тыка(подбора) решить:/
olapolakova939: неважно мне нужен именно ответ

Ответы

Ответ дал: vladyslavq
1

Ответ:

.....................

Приложения:

olapolakova939: спасибо тебе
Ответ дал: mashuko666
1

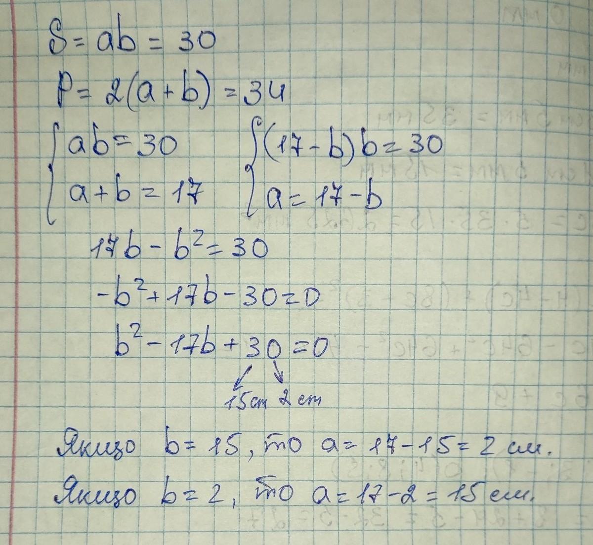
если решать методом подбора,

то:

допустим стороны а и б,

Р=34см=>а+б=17см

теперь ищем множители, которые при умножении дают 30, а при сложении 17

15*2=30, 15+2=17

Ответ: стороны 15см и 2см.

Вас заинтересует