Ответы
Ответ дал:
2
Ответ:
Пошаговое объяснение:
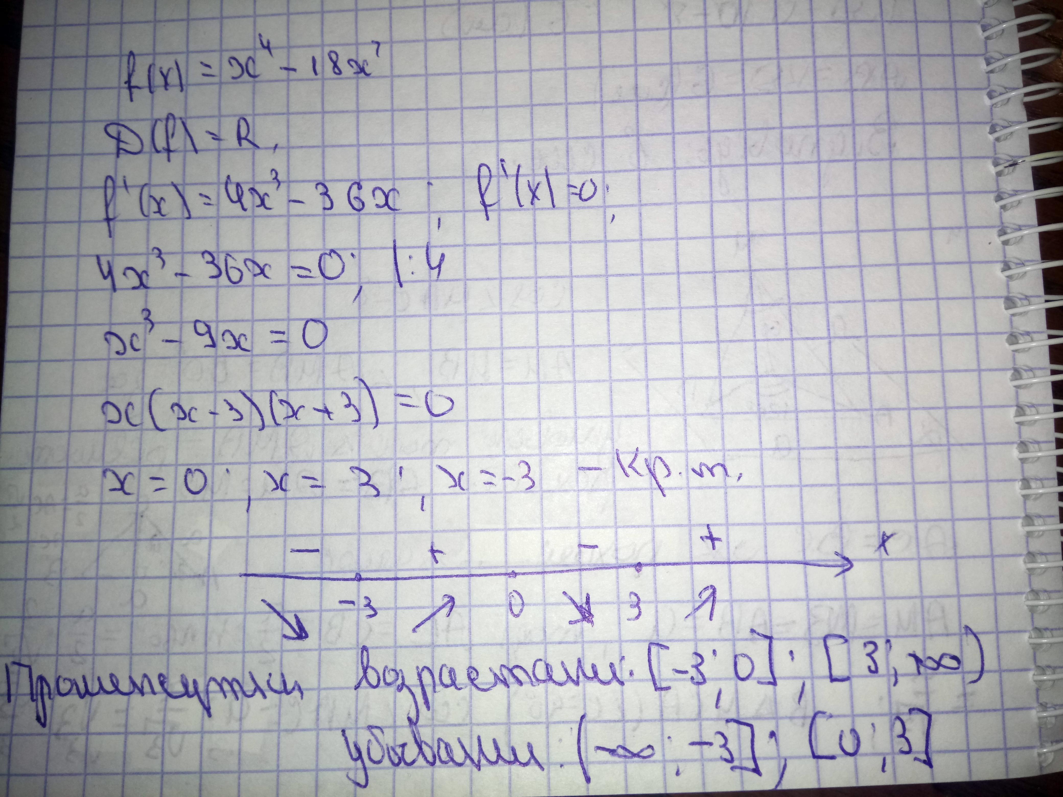
Фото
Приложения:

ctoi448:
там в условии должно быть 18х в квадрате.
Вас заинтересует
2 года назад
8 лет назад
8 лет назад