• Предмет: Алгебра
  • Автор: olapolakova939
  • Вопрос задан 7 лет назад

Задачка за 9 клас ..​

Приложения:

Ответы

Ответ дал: parus77
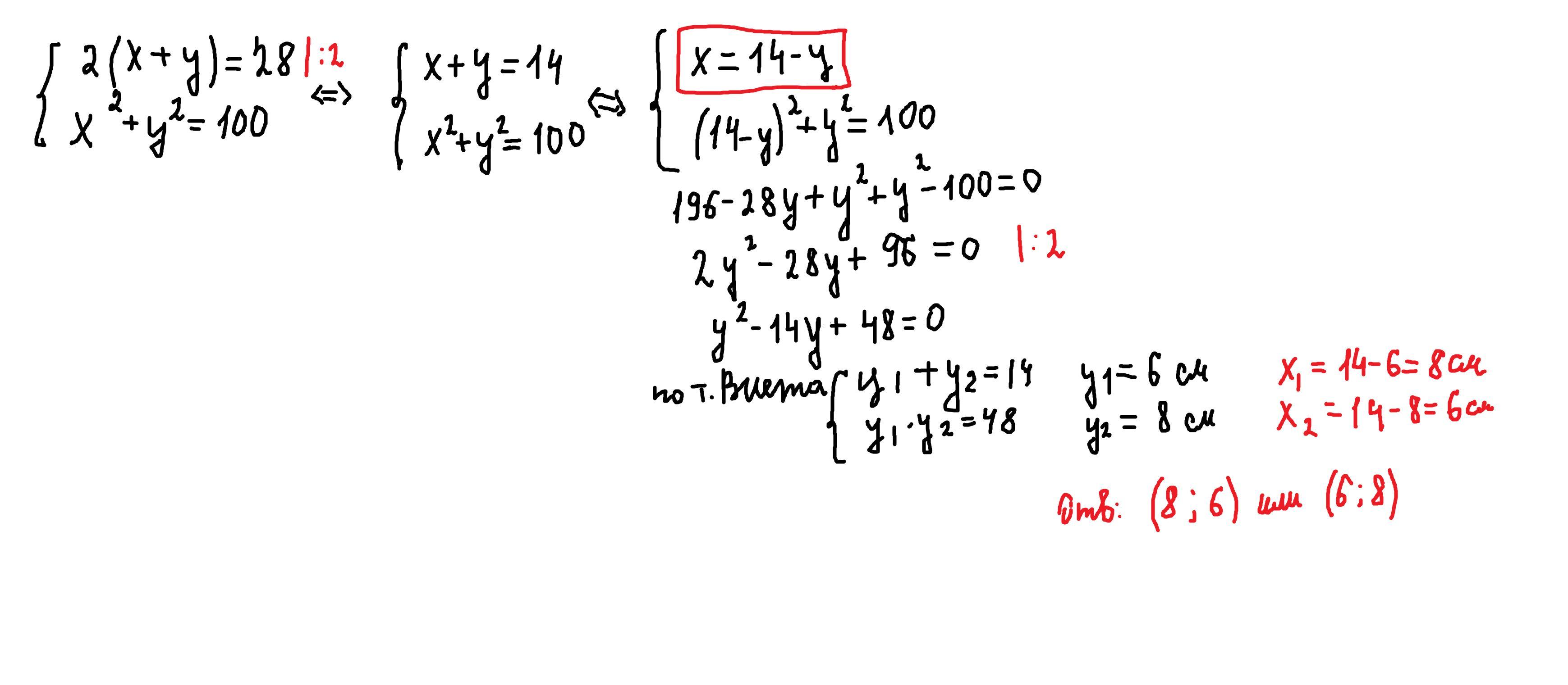
1

Ответ:

Объяснение:

пусть 1 сторона-Х см

вторая сторона -У см

Р=28 см

d=10см

по условию сост. систему уравнений

2(х+у)=28  

по т.Пифагора d²=x²+y²  и тогда х²+у²=10²

составим и решим систему.

решение внизу.

получится,что стороны прямоугольника равны 6 см и 8 см

Приложения:

olapolakova939: о господи спасибо
parus77: пожалуйста
Вас заинтересует