• Предмет: Математика
  • Автор: annavinichuk735
  • Вопрос задан 7 лет назад

Срочно нужно решение, помогите пожалуйста ​

Приложения:

Ответы

Ответ дал: Phant1cks
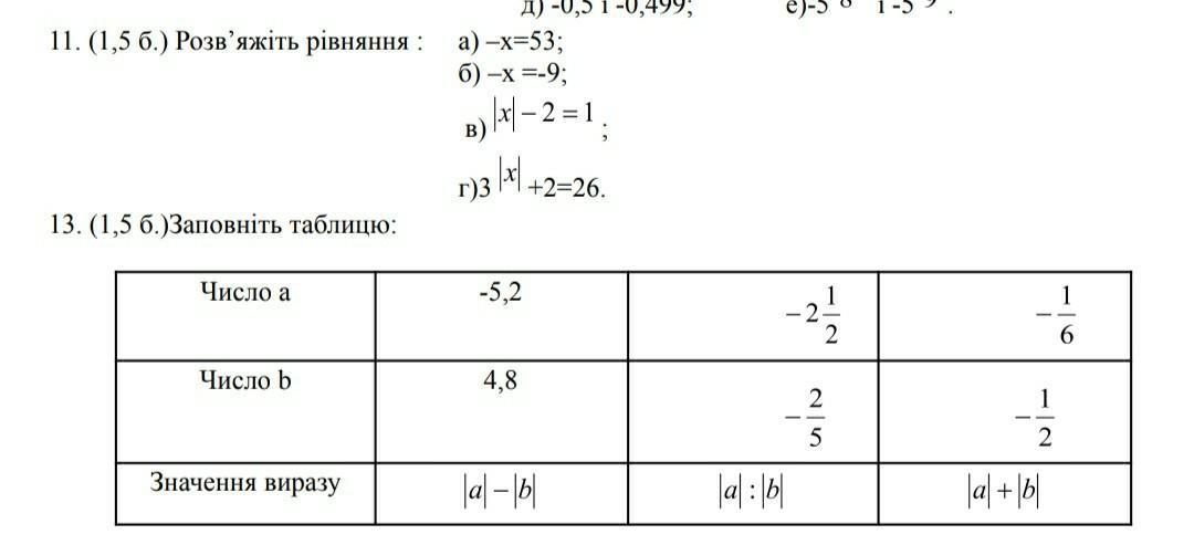
1

11

    a) x=-53

    б) x=9

    в) x = ± 3

    г) x = ÷ 8

13

    1) x= 0.4

    2) x = \frac{25}{4}

    3) x= \frac{2}{3}


Phant1cks: В 11 г) +-8
Вас заинтересует