• Предмет: Физика
  • Автор: didi0207
  • Вопрос задан 7 лет назад

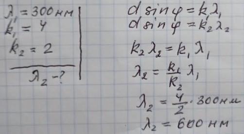
Визначте довжину хвилі у дифракційному спектрі другого порядку, що збігається з положенням спектра четвертого порятку хвилі довжиною 300 нм

Ответы

Ответ дал: zybkov1950
2

Ответ: 600 нм

Объяснение: Див. додаток

Приложения:
Вас заинтересует