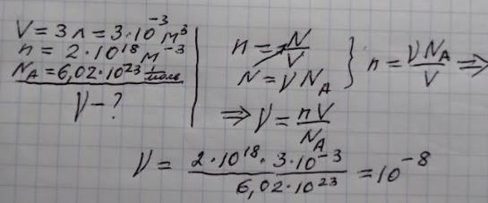
Визначити кількість речовини водню, що заповнює посудину об'ємом V=3 л, якщо Концентрація молекул газу в ній n=2*10^18 м^-3
zybkov1950:
А концентрація часом не в см^-3? При Вашій n вже надто розріджений водень
Ответы
Ответ дал:
1
Ответ:
...........................
Приложения:

Ответ дал:
1
Ответ: 10^ -8
Объяснение: Див. додаток
Приложения:

Вас заинтересует
2 года назад
2 года назад
2 года назад
2 года назад
8 лет назад
9 лет назад