• Предмет: Математика
  • Автор: hutavavvv
  • Вопрос задан 7 лет назад

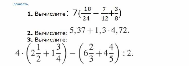
помогите. даю 25 баллов

Приложения:

Ответы

Ответ дал: VlafGeniy
1

Ответ:

держи ответ в фото .............

Приложения:

VlafGeniy: сделай ответ лучшим пж
Ответ дал: kimsohyun435
0

Пошаговое объяснение:

надеюсь понятно, удачи.

Приложения:
Вас заинтересует