• Предмет: Алгебра
  • Автор: sofia77732
  • Вопрос задан 7 лет назад

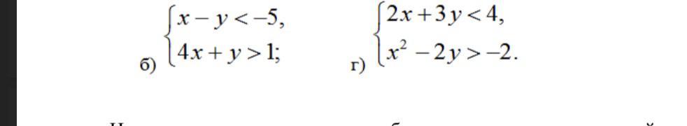
Решите пожалуйста!!!

Приложения:

Ответы

Ответ дал: masterprokaznik
0

Ответ:

arbuz

Объяснение:

Вас заинтересует