• Предмет: Геометрия
  • Автор: risean0115
  • Вопрос задан 7 лет назад

Пожалуйста решите задачу​

Приложения:

Ответы

Ответ дал: gleb377
0

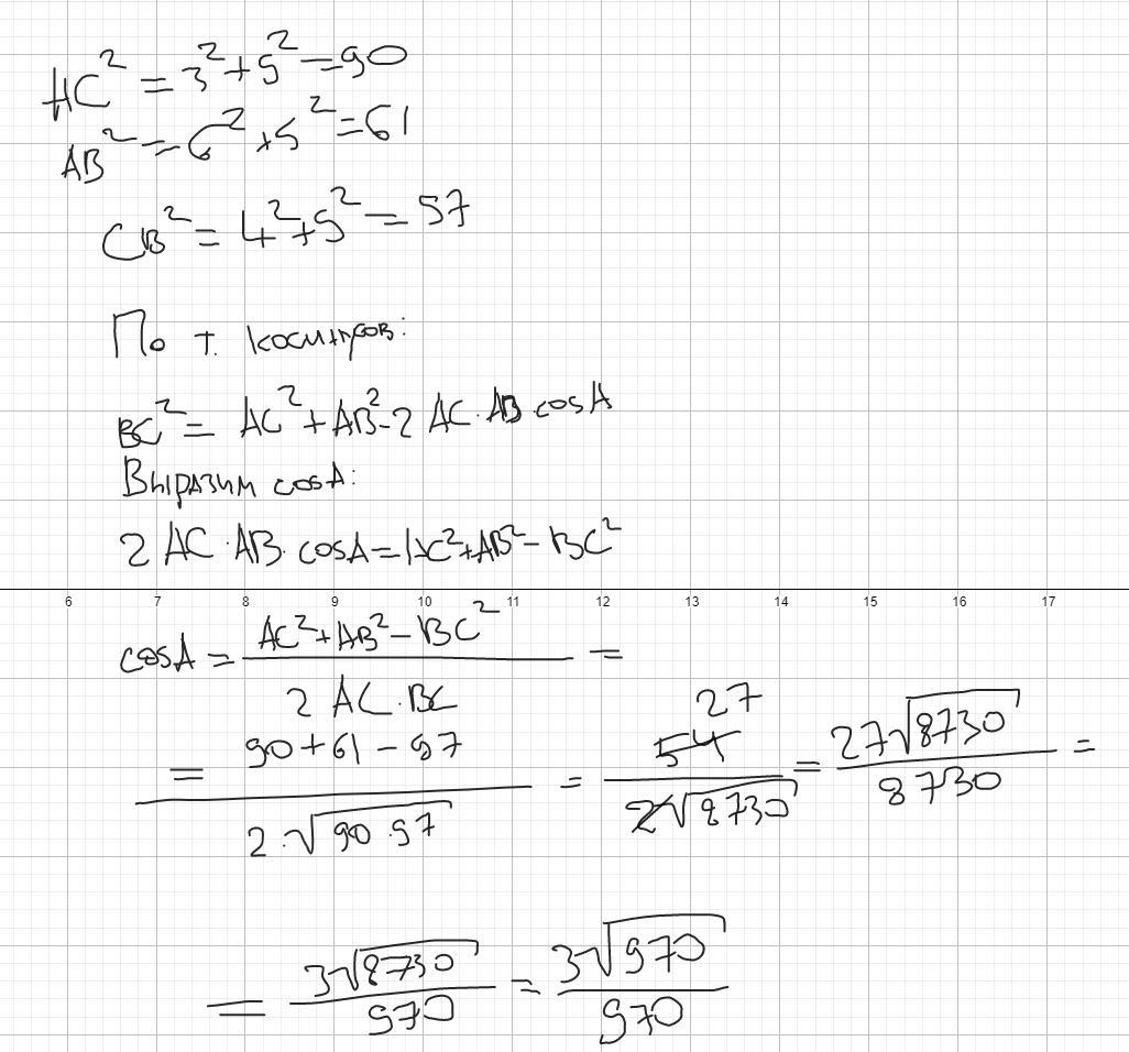
Ответ:

\frac{3\sqrt{970}}{970}

Объяснение:

Приложения:
Вас заинтересует