Ответы
Ответ дал:
1
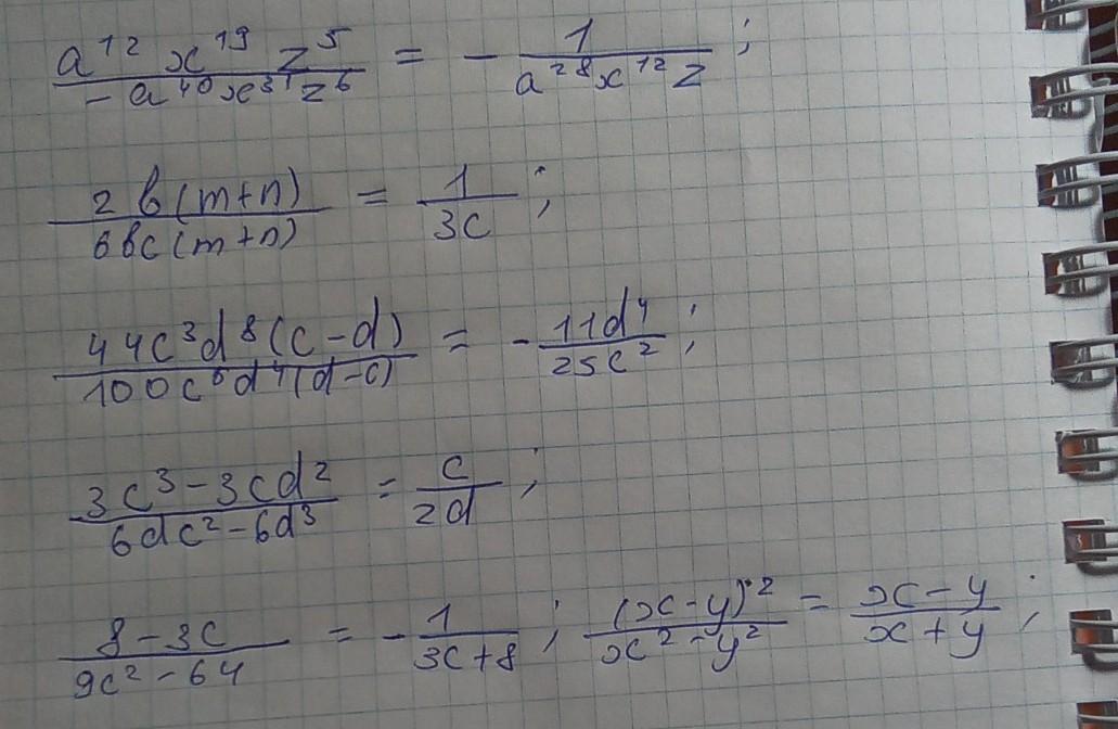
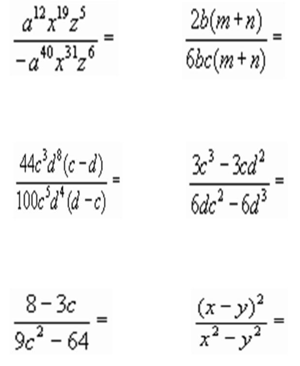
Ответ:
відповідь на фотографії
Приложения:

Вас заинтересует
2 года назад
2 года назад
8 лет назад