помогите пожалуйста с алгеброй!!!!!!! Очень надо!!!!!!! 11 КЛАСС КТО ЗНАЕТ ОТВЕТ!!!!!!!!!!
Приложения:

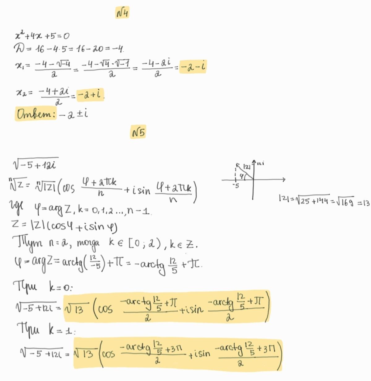
Ответы
Ответ дал:
2
~~~~~~~~~~~~~~~~~~~~
Приложения:

Аноним:
Здравствуйте вы не могли бы мне помочь с алгеброй пожалуйста мой вк id658914666 и телеграмм @runjinqw
Вас заинтересует
2 года назад
2 года назад
2 года назад
2 года назад
8 лет назад
8 лет назад
9 лет назад