• Предмет: Алгебра
  • Автор: s950tx16wasr10
  • Вопрос задан 7 лет назад

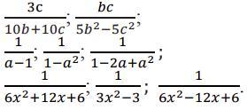
Выполните пожалуйста, очень срочно. Привести к общему знаменателю дроби:

Приложения:

Ответы

Ответ дал: katiakasian0
0

Ответ:

відповідь на фотографії

Приложения:
Вас заинтересует