• Предмет: Алгебра
  • Автор: irinafadeeva0
  • Вопрос задан 7 лет назад

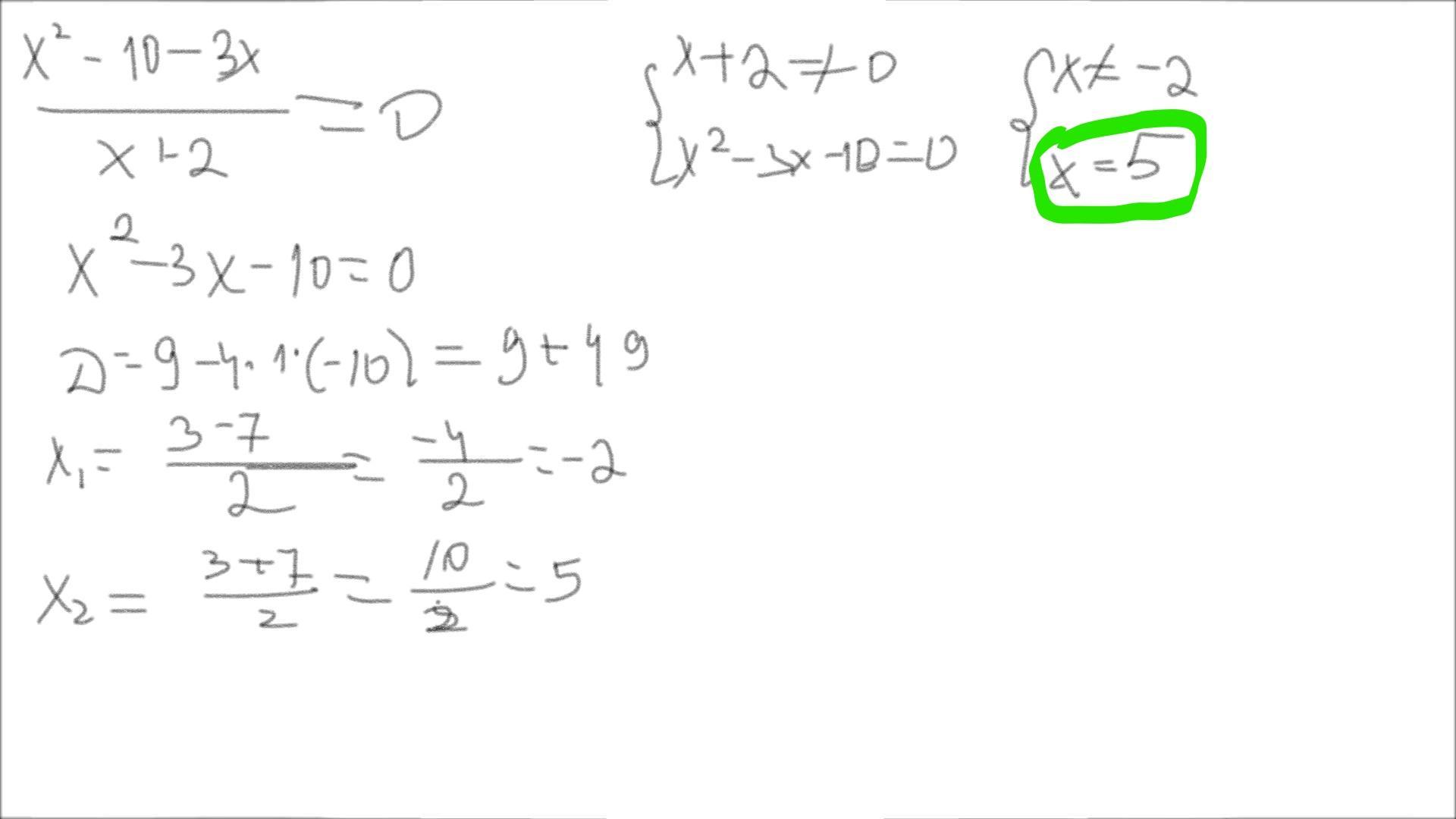
x2-10/x+2=3x/x+2 РЕШИТЕ ЧЕРЕЗ ДИСКРИМИНАНТ!!! НЕ ЧЕРЕЗ ОДЗ

Приложения:

Ответы

Ответ дал: daryushkadari
1

Ответ:

Объяснение: x=5

Приложения:

irinafadeeva0: Спасибо тебе большое!!!
Ответ дал: kakzhenadoelashkola
0
решение предоставлено на фото
Приложения:
Вас заинтересует