• Предмет: Алгебра
  • Автор: vshke
  • Вопрос задан 7 лет назад

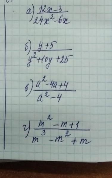
сократите дробь пожалуйста​

Приложения:

Ответы

Ответ дал: NNNLLL54
1

Ответ:

a)  Вынесем общие множители в числителе и в знаменателе, а потом сократим дробь ..

\dfrac{12x-3}{24x^2-6x}=\dfrac{3\cdot (4x-1)}{6x\cdot (4x-1)}=\dfrac{3}{6x}=\dfrac{1}{2x}

б) Применим формулу квадрата суммы:   a^2+2ab+b^2=(a+b)^2  .

\dfrac{y+5}{y^2+10y+25}=\dfrac{y+5}{(y+5)^2}=\dfrac{1}{y+5}

в)  Применим формулу квадрата разности:   a^2-2ab+b^2=(a-b)^2  и разности квадратов:   a^2-b^2=(a-b)(a+b)

\dfrac{a^2-4a+4}{a^2-4}=\dfrac{(a-2)^2}{(a-2)(a+2)}=\dfrac{a-2}{a+2}

г) Вынесем общий множитель в  знаменателе, а потом сократим дробь .

\dfrac{m^2-m+1}{m^3-m^2+m}=\dfrac{m^2-m+1}{m\cdot (m^2-m+1)}=\dfrac{1}{m}


vshke: спасибо
kuanysa503: мне ПОМОГите пожалуйста вопрос в профиле
Ответ дал: Аноним
1

Объяснение: Доброе утро.

Полезно вспомнить, что сократить дробь - значит разделить числитель и знаменатель на одно и то же выражение, не равное нулю, а если это число, то не равное единице.

сначала разложим на множители числитель и знаменатель. а затем сократим (выделяю жирным шрифтом то, на что сокращаю)

а) (12х-3)/(24х²-6х)=3*(4х-1)/(6х*(4х-1))=3/(6х)=3/(3*2х)=1/(2х)

б) знаменатель свернем по формуле а²+2ас+с²=(а+с)²

(у+5)/(у²+10у+25)=(у+5)/(у+5)²=(у+5)/(у+5)(у+5)=1/(у+5)

в) по формуле  а²-2ас+с²=(а-с)² свернем числитель, знаменатель разложим по формуле а ²-2²= (а-2)*(а+2), т.к. 4=2²;

(а²-4а+4)/(а²-4)=(а-2)²/((а-2)*(а+2))=(а-2)*(а-2)/(а-2)*(а+2)=(а-2)/(а+2)

г)  в знаменателе вынесем за скобку общий множитель m, затем сократим дробь.

(m²-m+1)/(m³-m²+m)=(m²-m+1)/(m²-m+1)*m=1/m

ДРОБЬ СОКРАЩАЛИ - ЧИСЛИТЕЛЬ НА ОДНО И ТО ЖЕ ДЕЛИЛИ.

Вас заинтересует