Даю 100 балов!срочно!!!!!!!!!!!!!БЕЗ СПАМААА,идет контрольная годовая пж помогите
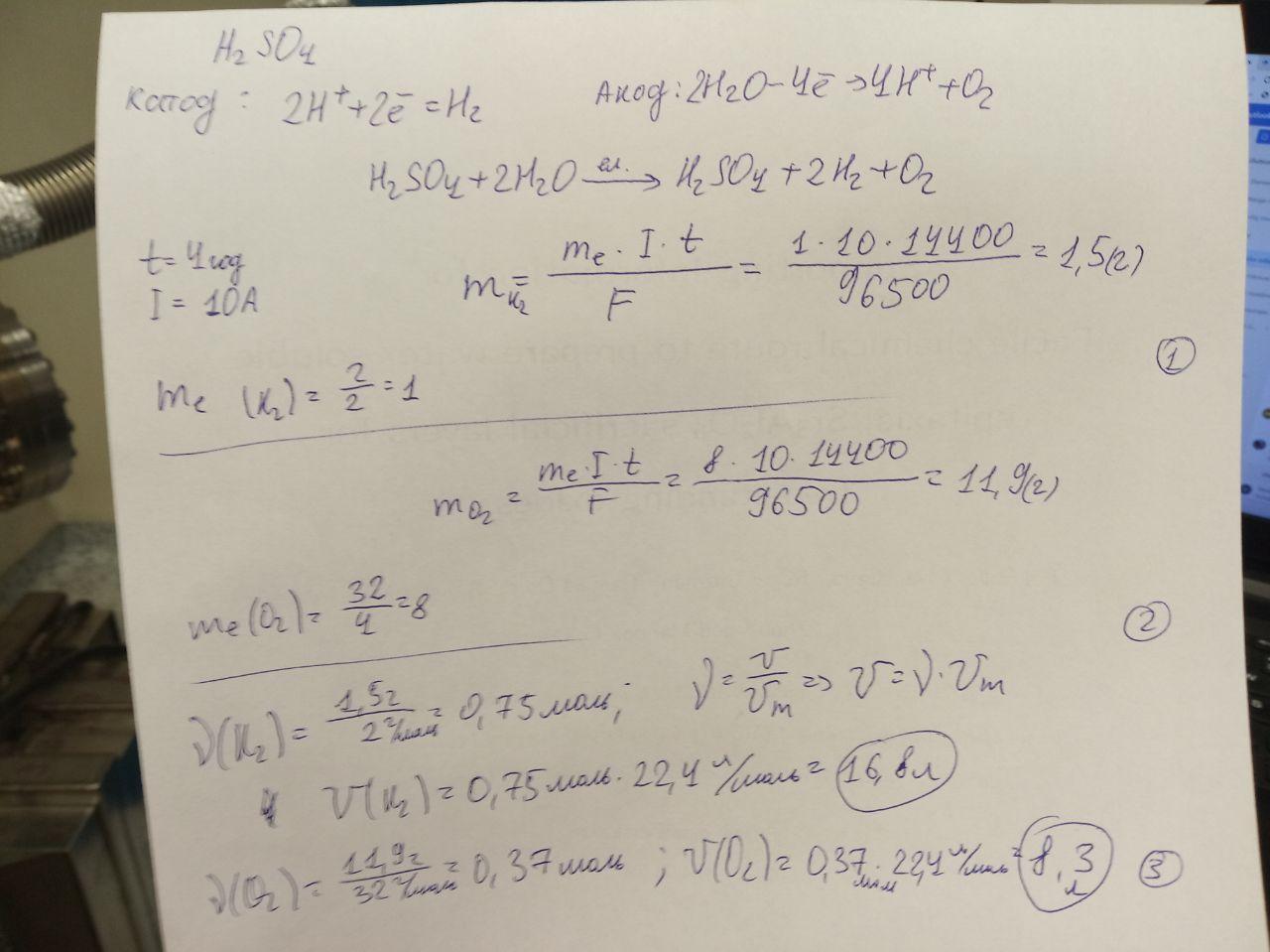
Який об’єм водню та кисню (н. у.) виділиться на інертних електродах, якщо протягом 4 годин крізь розчин H2SO4 пропускати електричний струм силою 10 А?
перевод:
Какой объем водорода и кислорода (н. у.) выделится на инертных электродах, если в течение 4 часов через раствор H2SO4 пропускать электрический ток силой 10 А?
Ответы
Ответ дал:
0
Ответ:V(H2) =16.8 л , V(O2)=8.3 л
Объяснение:
Приложения:

Вас заинтересует
2 года назад
2 года назад
2 года назад
8 лет назад
9 лет назад