• Предмет: Алгебра
  • Автор: AnyaBurtseva
  • Вопрос задан 7 лет назад

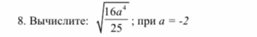
помогите пожалуйста

Приложения:

Ответы

Ответ дал: sevakazakov22
0

Ответ:

3,2

Объяснение:

На фото.............

Приложения:
Вас заинтересует