• Предмет: Алгебра
  • Автор: violettasuhovec875
  • Вопрос задан 7 лет назад

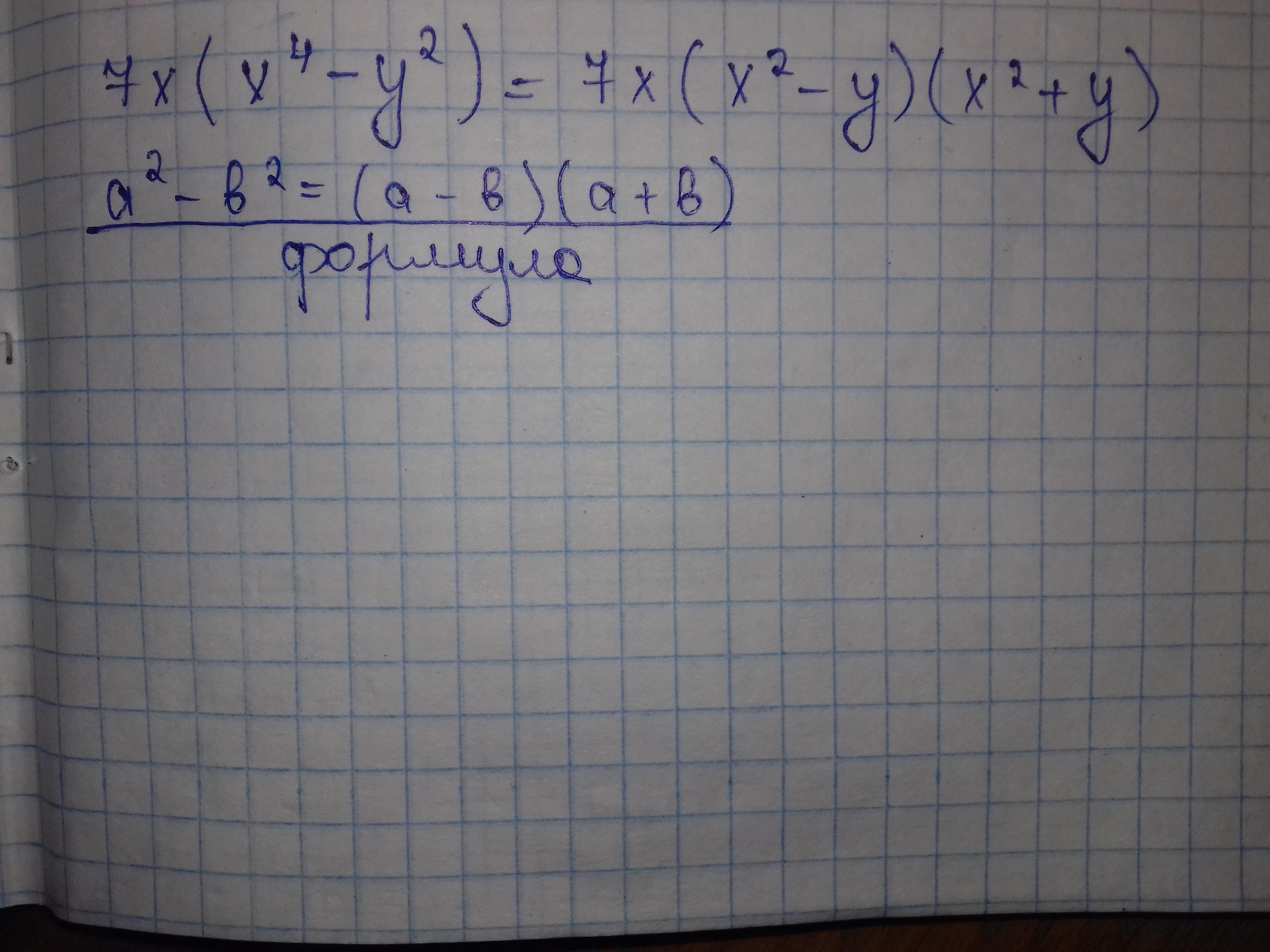
7х⁵-7ху² розкласти на множники


срочно пожалуйста даю 40 балов ​

Ответы

Ответ дал: sadykovanatalya2004
2

Ответ:

Смотри фото ниже.

Объяснение:

Приложения:
Ответ дал: novocukalevtina
1

Ответ:

7 x * (x^{4} - y^{2})

7 x * ( x^{2} - y ) * (x^{2} + y)

Объяснение:

Вас заинтересует