• Предмет: Математика
  • Автор: millerervin865
  • Вопрос задан 7 лет назад

Кто-нибудь,помогите чем можете!​

Приложения:

parus77: как неполный ответ отмечаете лучшим?

Ответы

Ответ дал: iramazurk
2

Ответ:

Пошаговое объяснение:

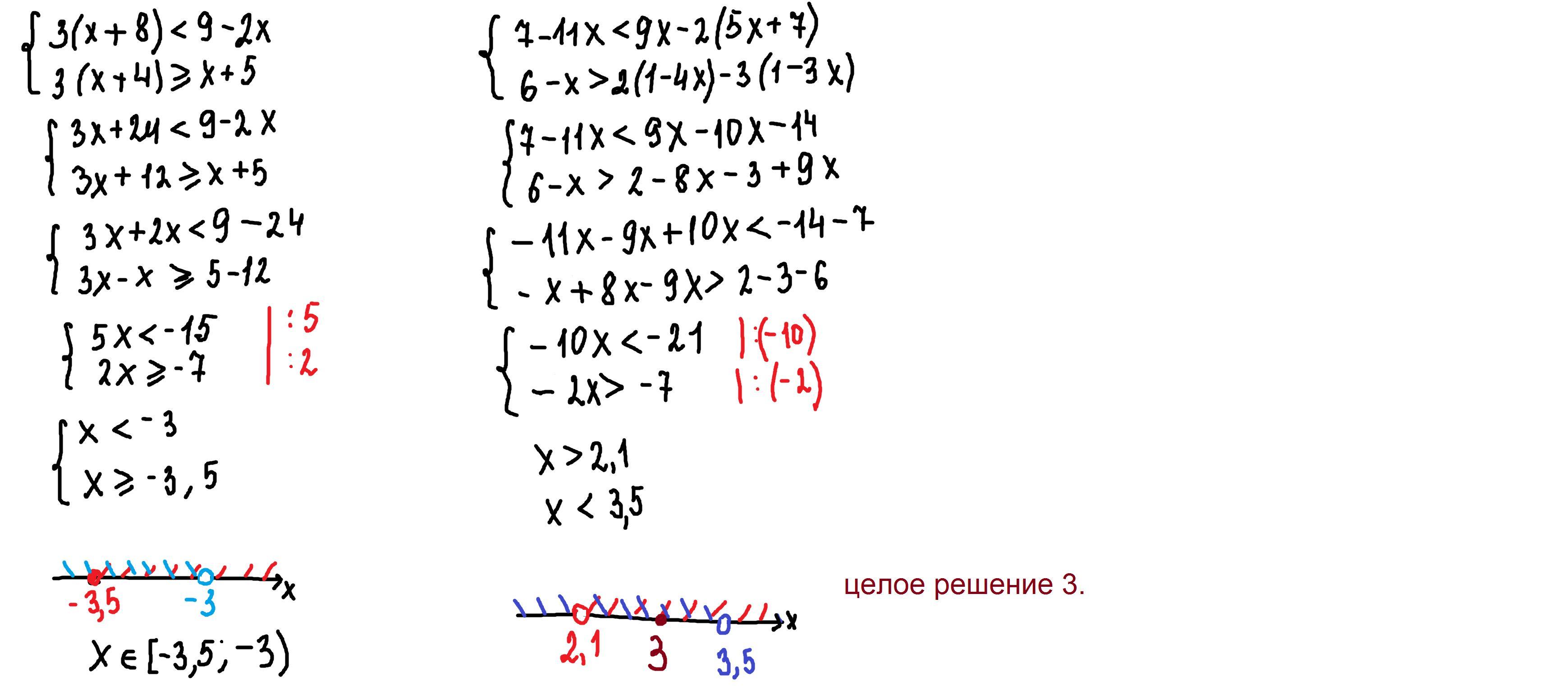
3(х+8) < 9 - 2х

3(х+4) ≥ х + 5

3х + 24 < 9 - 2х

3х + 12 ≥ х + 5

3х + 2х < 9 - 24

3х - х ≥ 5 - 12

5х < -15

2х ≥ -7

х < -15 : 5

х ≥ -7 : 2

х < -3

х ≥ -3,5

х € [-3,5; -3}

7 - 11х < 9х - 2(5х + 7)

6 - х > 2(1 - 4х) - 3(1 - 3х)

7 - 11х < 9х - 10х - 14

6 - х > 2 - 8х - 3 + 9х

7 - 11х < - х - 14

6 - х > -1 + х

- 11х + х < -14 - 7

- х - х > -1 - 6

- 10х < -21

- 2х > -7

х > -21 : (-10)

х < -7 : (-2)

х > 2,1

х < 3,5

х € {2,1; 3,5}


millerervin865: Спасибо! :)
iramazurk: Пожалуйста)
Ответ дал: parus77
2

Ответ:

Пошаговое объяснение:

решение внизу

целое решение 2 системы это число 3

Приложения:
Вас заинтересует