• Предмет: Алгебра
  • Автор: dom27
  • Вопрос задан 7 лет назад

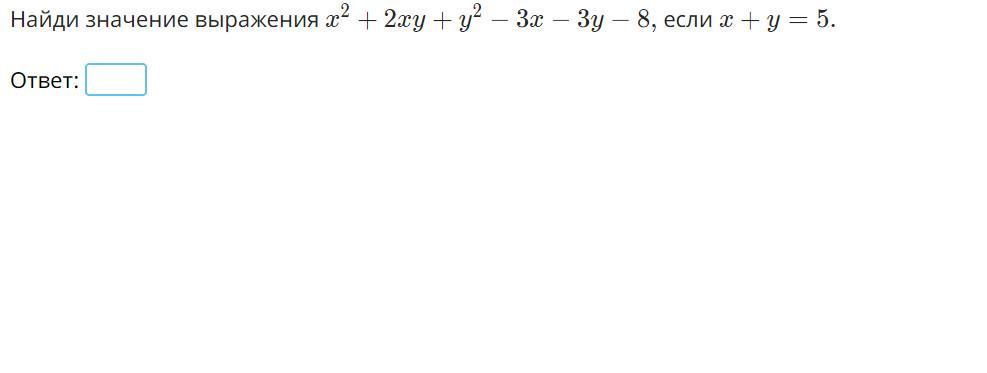
ПОМОГИТЕ ПОЖАЛУЙСТА
в файле

Приложения:

Ответы

Ответ дал: vulehzhaninaveronika
0

Ответ:

х+у)^2-3(х-у)+8=25-15+8=18


dom27: ПРАВЕЛЬНЫЙ ОТВЕТ 20
vulehzhaninaveronika: ну прости ошыблась
Вас заинтересует