• Предмет: Алгебра
  • Автор: bigbrother7725
  • Вопрос задан 7 лет назад

помогите пожалуйста решить задачу​

Приложения:

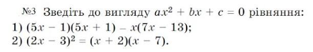
chevtaieva: если что, *2 это степень. 1) 25х*2 - 1 - 7х*2 + 13х, 18х*2 - 1 + 13х, 18х*2 + 13х - 1
2) 4х*2 - 12х + 9 = х*2 - 7х + 2х - 14, 4х*2 - 12х + 9 = х*2 - 5х - 14, 4х*2- 12х +
+ 9 - х*2 + 5х - 14 = 0, 3х*2 - 7х + 23 = 0,

Ответы

Ответ дал: chevtaieva
1

Ответ:

1)  18х*2 + 13х - 1

2) 3х*2 - 7х + 23 = 0

Объяснение:


bigbrother7725: расписать нада а не просто відповідь написать
Вас заинтересует