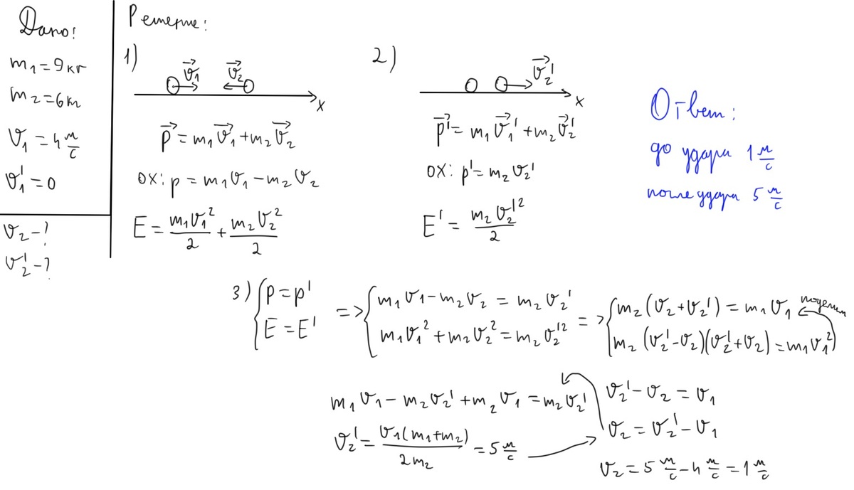
Два шара массами 9 и 6 кг движутся навстречу друг другу, причем скорость движе
ния первого шара равна 4 м/с. После упругого центрального удара первый шар остановился.
Определите скорость движения второго шара до и после удара.
Ответы
Ответ дал:
0
Решение на картинке.
Приложения:

Ответ дал:
0
спасибо большое))))
Ответ дал:
0
Пожалуйста.
Вас заинтересует
2 года назад
2 года назад
8 лет назад
8 лет назад
10 лет назад
10 лет назад
10 лет назад