• Предмет: Физика
  • Автор: maksdvirnyi
  • Вопрос задан 7 лет назад

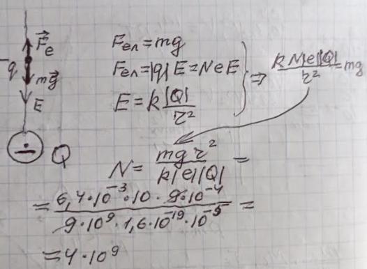
ФИЗИКА ЕЛЕКТРОСТАТИКА Сколько электронов должна потерять пылинка массой 6,4 г, чтобы находясь в вакууме на расстоянии 3 см от центра шарика, обладающего зарядом -10мкКл оставаться в равновесин? А) 4-1013 В) 4-1014 С) 4-109 D) 4-1010 E) 4-10-13​

Приложения:

maksdvirnyi: у меня ещё есть вопросы по этой кр

Ответы

Ответ дал: zybkov1950
1

Ответ: С

Объяснение: См. приложение

Приложения:

maksdvirnyi: спасибо
maksdvirnyi: у меня ещё вся кр в вопросах есть
maksdvirnyi: прошу помоги с остальными тоже
maksdvirnyi: пожалуйста помоги фмзику у меня ещё вопросы в аккаунте
maksdvirnyi: никто не отвечает
Вас заинтересует