• Предмет: Алгебра
  • Автор: nki24908
  • Вопрос задан 7 лет назад

СРОЧНО, ЭТО ПОСЛЕДНЕЕ У МЕНЯ ЗАДАНИЕ:

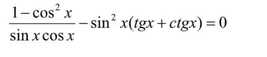
Доведите тождество

Приложения:

Ответы

Ответ дал: MizoriesKun
3

Смотри...................................

Приложения:

xacku2020: в первойстрочке почему tgx+cosx?
MizoriesKun: Описка потому что))
xacku2020: у меня в решение тоже была описка-недорешал А ты взялаи удалила. Вот удаляй исвое. Это будет справедливо
MizoriesKun: Я же сказала окно свободно идите и решайте правильно, а на ты я Вам не позволяла обращаться
xacku2020: Вы мстительная
Ответ дал: Аноним
0

формулы, которыми вы пользуетесь, чтобы доказать тождества, следующие:

sin²x+cos²x=1- это теорема Пифагора в тригонометрии. или же основное тригонометрическое тождество.⇒1-сos²x=sin²x

tgx=sinx/cosx;

ctgx=cosx/sinx;

tgx+сtgx=(sinx/cosx+cosx/sinx)=(sin²x+cos²x)/(sinx/cosx)=1/(sinx/cosx);

Теперь детальнее.

(1-сos²x)/(sinx*cosx)-sin²x*(tgx-сtgx)=sin²x/(sinx*cosx)-sin²x*(tgx-сtgx)=

=sin²x*((1/(sinx*cosx))-(1/(sinx*cosx))=(sin²x*)0=0

0=0- доказано.

Вас заинтересует