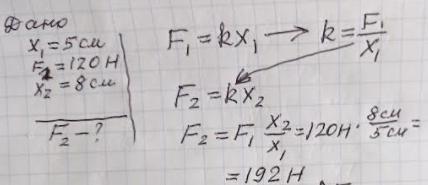
- При розтягуванні пружини на 5 см виникає сила пружності 120 н. Яка сила пружності виникне при розтягуванні пружини на 8 см? Побудуйте графік за- лежності сили пружності від подовження пружини. Масштаб оберіть самостійно. А 192 Н Б 118 Н в 172 Н г 75 Н
Ответы
Ответ дал:
0
Ответ: А
Объяснение: Див. додаток
Приложения:


13112008yarik13:
а раньше нельзя било
Вас заинтересует
2 года назад
2 года назад
2 года назад
8 лет назад