Определите порядок действий , найдите значение выражения ( напишите на листке и скиньте )
А) 672:42+21*39 =
Б) 989:43-912:48=
Ответы
Ответ дал:
0
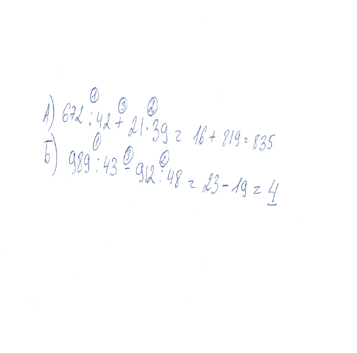
A) 1-деление 2-умножение 3-сумма
672/42=16
21*39=819
819+16=835
Б
деление деление вычитание
989/43=23
912/48=19
23-19=4
672/42=16
21*39=819
819+16=835
Б
деление деление вычитание
989/43=23
912/48=19
23-19=4
Ответ дал:
0
Вот на листочке сделал и скинул.
Приложения:

Вас заинтересует
2 года назад
8 лет назад
8 лет назад
10 лет назад
10 лет назад
10 лет назад
10 лет назад