• Предмет: Математика
  • Автор: zamorina
  • Вопрос задан 10 лет назад

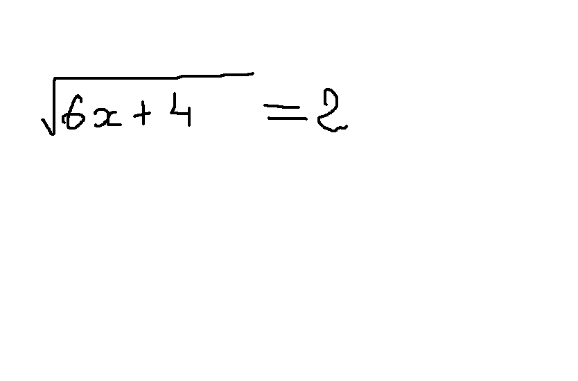
проверьте пожалуйста, ответ 0? или 6?

Приложения:

Ответы

Ответ дал: Ivanushka02
0
Сто процентов ответ 0
Ответ дал: zamorina
0
спасибо)
Ответ дал: Kma86
0

верный ответ 0

6х+4=4

6х=0

х=0

Вас заинтересует