• Предмет: Математика
  • Автор: zeygirl228
  • Вопрос задан 7 лет назад

Помогите пожалуйста ​

Приложения:

Ответы

Ответ дал: Dmitry1986
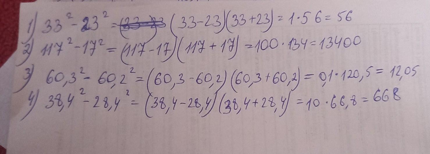
1

Вложение фото решения и ответа.

Приложения:
Ответ дал: NataMon
1

Ответ:

Пошаговое объяснение:

1. 33² - 23² = 1089 - 529 = 560

2. 117² - 17² = 13689 - 289 = 13 400

3. 60,3² - 60,2² = 3636,09 - 3624,04 = 12,05

4.38,4² - 28,4² = 1474,56 - 806,56 = 668

Вас заинтересует