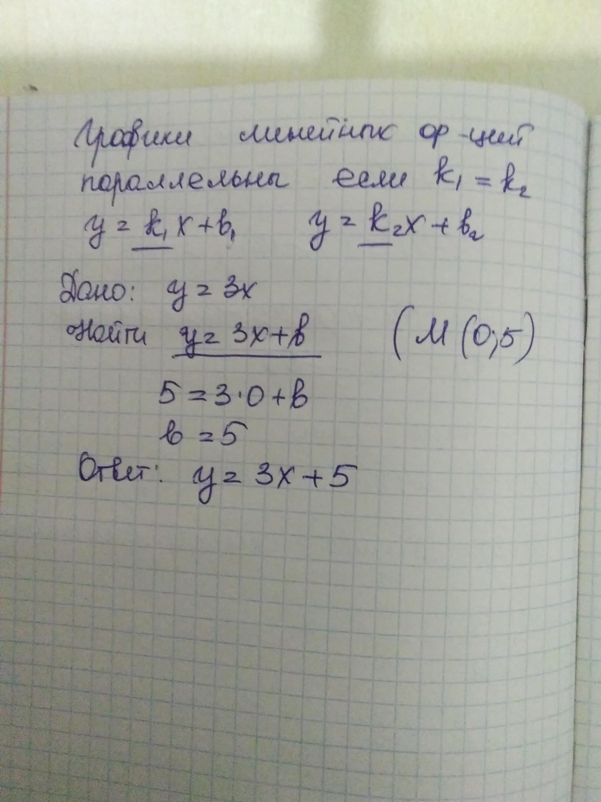
Запиши формулою лінійну функцію, графік якої паралельний графіку лінійної функції y=3x і проходить через точку \(M(0;5)\).
Ответы
Ответ дал:
3
Смотри...................
Приложения:

Вас заинтересует
2 года назад
2 года назад
2 года назад
2 года назад
8 лет назад
9 лет назад