• Предмет: Математика
  • Автор: s080208
  • Вопрос задан 7 лет назад

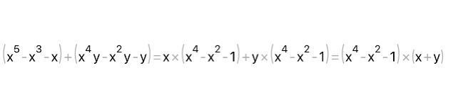
Разложите многочлен на множители, разбив слагаемые на две группы по три слагаемых в каждой.

x^{5} + x^{4}y-x^{3} - x^{2} y - y - x

Ответы

Ответ дал: uldavid
3
Держи, надеюсь помогла
Приложения:
Вас заинтересует