Ответы
Ответ дал:
0
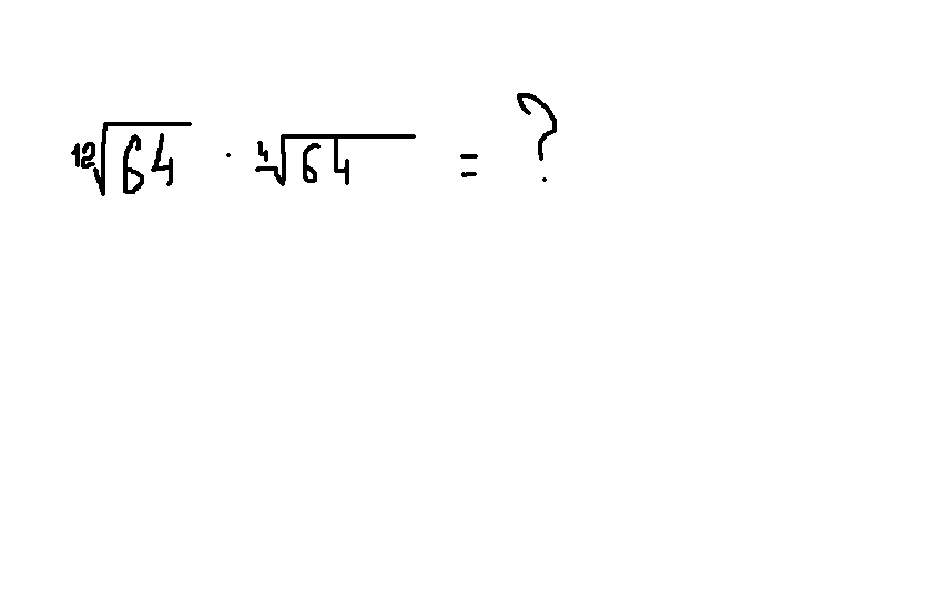
64 = 2^6
корень 12 степени из 2^6 = 2^(612) = корень из 2
а корень 4 степени из 2^6 = 2^(64) = 2^(32) = корень из 8 = 2 корня из 2
корень из 2 * 2 корня из 2 = 4
Ответ: 4
корень 12 степени из 2^6 = 2^(612) = корень из 2
а корень 4 степени из 2^6 = 2^(64) = 2^(32) = корень из 8 = 2 корня из 2
корень из 2 * 2 корня из 2 = 4
Ответ: 4
Вас заинтересует
8 лет назад
8 лет назад
11 лет назад
11 лет назад
11 лет назад