Ответы
Ответ дал:
0
Ответ:
Объяснение:
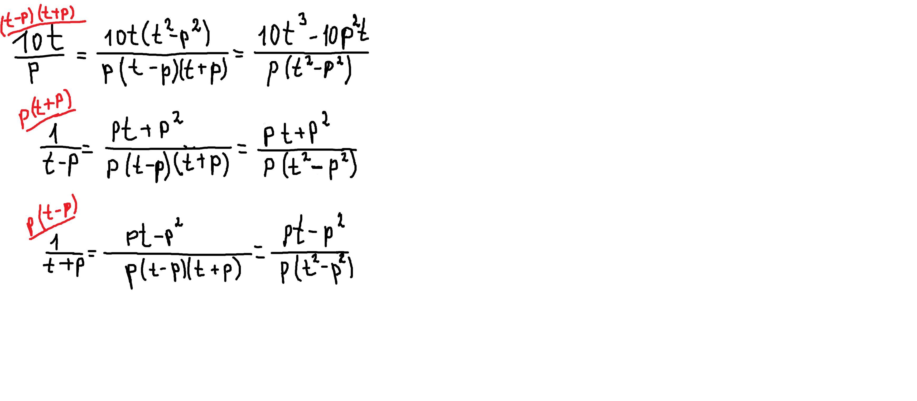
решение внизу
Приложения:

Вас заинтересует
2 года назад
2 года назад
2 года назад