• Предмет: Математика
  • Автор: unicorn18well
  • Вопрос задан 7 лет назад

Помогите решить пожалуйста факториал !!!(

Приложения:

Ответы

Ответ дал: dashulka22222
1

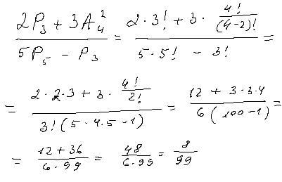
Ответ:

Пошаговое объяснение:

Приложения:
Вас заинтересует