Ответы
Ответ дал:
2
Ответ:
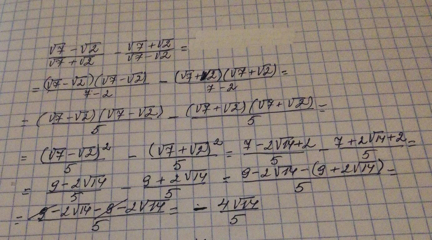
Общий знаменатель равен 5
Приложения:

larisaserova53:
Может и не надо решать пример, но я его решила, чтобы было понятно
Вас заинтересует
2 года назад
8 лет назад
9 лет назад
9 лет назад