Ответы
Ответ дал:
0
Ответ:
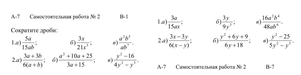
а 5a/15ab = 1/3b
3a++3b/6(a+b) = 1/2
3x/21x^3 = 1/7x^2
a^2*b^5/ab^7= a/b^2
Объяснение:
Ответ дал:
1
Ответ:
Смотри решение на фото...
Приложения:


Аноним:
Здравствуйте вы не могли бы вы мне помочь с алгеброй пожалуйста
Вас заинтересует
2 года назад
2 года назад
2 года назад
2 года назад
8 лет назад
8 лет назад
9 лет назад