• Предмет: Биология
  • Автор: applecipolino25
  • Вопрос задан 7 лет назад

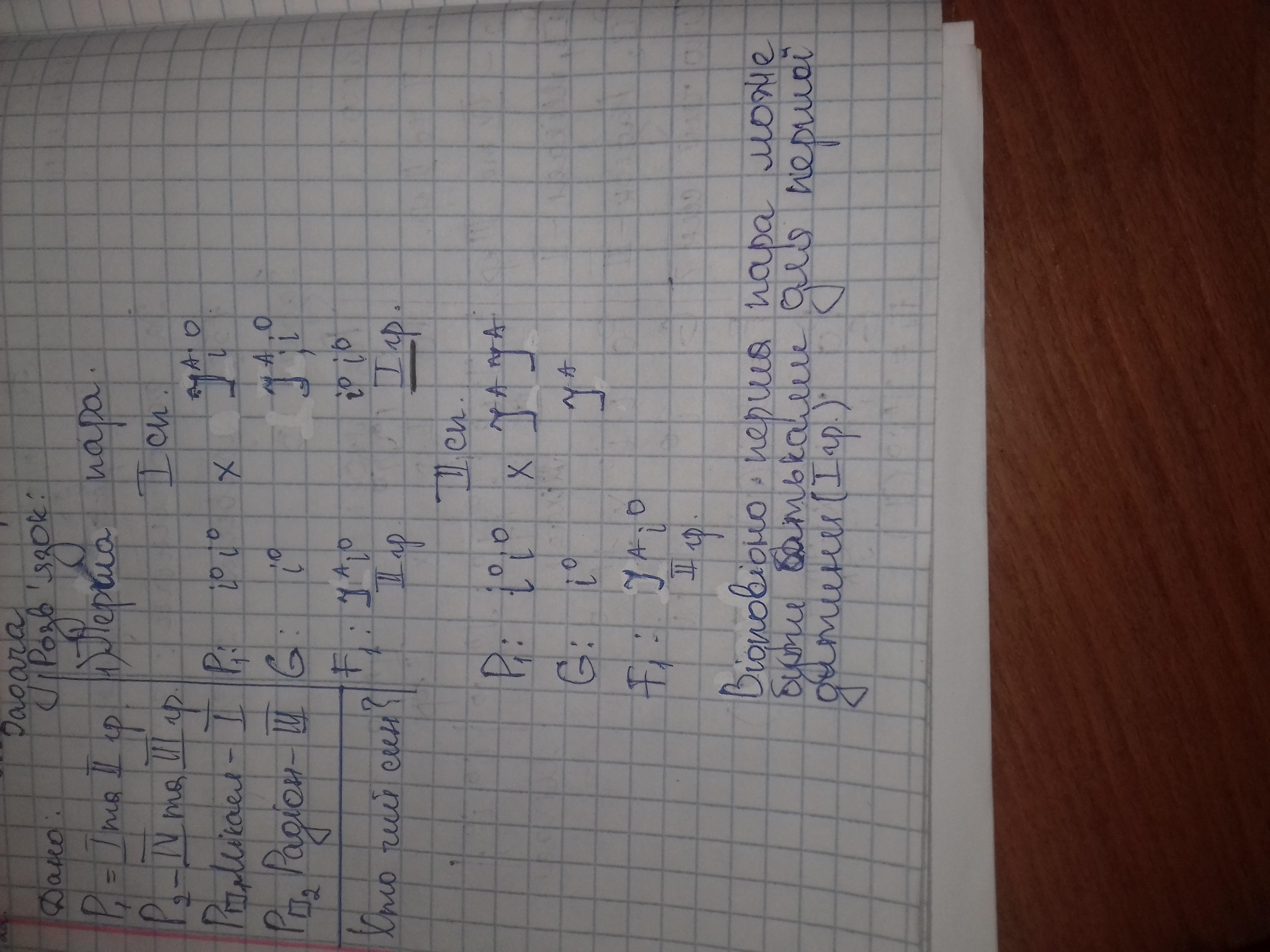
В родильном доме перепутали двух мальчиков. Родители одного из них имеют 1 и 2 группу крови, другого - 4 и 3. Исследование показало, что дети имеют 1 и 2 группу крови. Определите родителей каждого ребёнка.

Ответы

Ответ дал: sadykovanatalya2004
1

Ответ:

Смотри фото ниже.

Объяснение:

Приложения:
Вас заинтересует