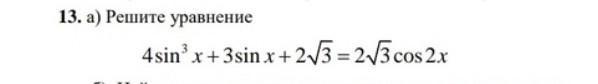
у меня есть решение, но я его не понимаю. вы не могли бы расписать подробно, пожалуйста?
Приложения:

Ответы
Ответ дал:
0
Ответ:
Я написала свой ответ на листочке , с тем где
синус икса = - корень 3 / 2 я плохо помню как решать , самой надо повторить
Приложения:

Вас заинтересует
2 года назад
2 года назад
2 года назад
2 года назад
8 лет назад
8 лет назад