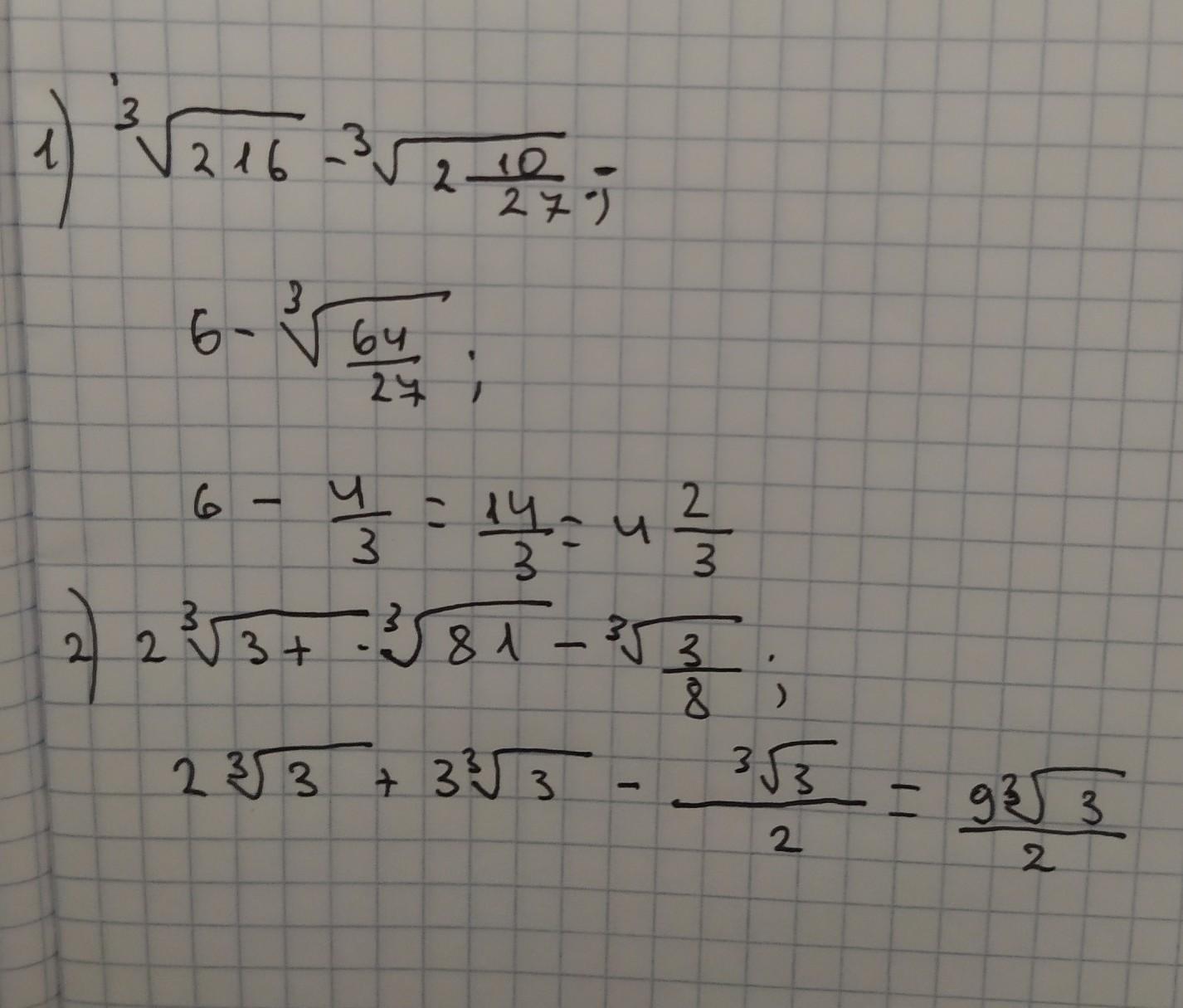
а)³√216–³√2 10/27
б) 2³√3+³√81–³√3/8
надо решить, надеюсь понятно
sashulkaverbitskaya:
в а) там 2 целое число и дробь 10/27
Ответы
Ответ дал:
1
Ответ:
ответ на фото!!!!!!!!!!!!!
Приложения:

Вас заинтересует
2 года назад
2 года назад
2 года назад
2 года назад
8 лет назад
8 лет назад
9 лет назад